會員
首頁
Index
關於我們
關於我們
最新消息
最新消息
商品介紹
商品介紹
運用實績
運用實績
經銷商
經銷商
聯絡我們
聯絡我們
會員
首頁
Index
關於我們
關於我們
公司簡介
最新消息
最新消息
全部
泵浦資訊
最新公告
商品介紹
商品介紹
直、聯軸端吸式離心泵
不鏽鋼臥式多段泵浦
不鏽鋼立式多段泵浦
立式管道單級離心泵
高低溫無軸封泵浦
沉水式汙物廢水泵浦
高低溫摩擦泵
高低溫離心泵
不鏽鋼離心泵
智慧變頻恆壓機
不鏽鋼閥件
漩渦泵
馬達
控制箱
運用實績
運用實績
全部
其他應用
污廢水設備系統
空調設備系統
經銷商
經銷商
全部
科沛達
聯絡我們
聯絡我們
關閉
聯絡我們
首頁
聯絡我們
填表諮詢
請詳細填寫以下表單並清楚告訴我們訴求,當本公司收到這封信時,我們會盡快回覆您。
(*)必填
*
詢問項目
管路設計與注意事項
*
姓名
*
連絡電話
*
內容
*
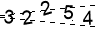
驗證碼
(
更換
)
確認送出
視訊列表
選單
TOP